通信与广电工程
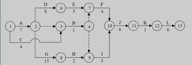
某通信光缆线路工程包括架空线路和直埋线路两部分,合同工期为 45 天。项目部分解的工作名称、工作代号、各项工作的持续时间及施工费的日开支量如下表所示,项目部编制的进度计划部分如下图所示:


施工过程中,项目部在第 24 天检查工程进度时发现,A、B、C、D、G 工作已完成,E、H 工作还没有开始,此时,项目部的实际开支额为 300000 元。
【问题】
1、补充完整上表中各项工作的紧前工作和紧后工作。
2、只设一个开始节点,补充完整项目部编制的进度计划图。
3、计算本工程原进度计划的计算工期,并指出第 24 天出现工作延误时的关键工作和关键路径。
4、计算原计划网络图中 B、E 工作的时间参数。
5、如果各项工作均按最早开始时间开始施工,计算第 24 天的BCWS、BCWP。
6、计算第 24 天的CV、SV,并指出项目部应采取何种措施,以保证工程按期完成。

2、完整的进度计划图如下图所示:

3、本工程原进度计划的计算工期Tc=44 天;24 天出现工作延误时的关键工作为:A、D、E、F、J、K、L,关键路径为 A-D-E-F-J-K-L。
4、原计划网络图中 B、E 工作的时间参数如下:

5、第 24 天的BCWS、BCWP:
BCWS24=BCWS A24+BCWS B24+BCWS C24+BCWS D24+BCWS E24+BCWS F24+BCWS G24+BCWS H24=7×1000+1×100+4×3000+8×6000+5×5000+4×10000+15×15000+2×5000=367100 元
BCWP24=BCWP A24+BCWP B24+BCWP C24+BCWP D24+BCWP G24 =7×1000+1×100+4×3000+8×6000+15×15000=292100 元
ACWP24=300000 元
6、第 24 天的CV、SV 及应采取的相应措施:
CV24=BCWP24-ACWP24=292100-300000=-7900 元<0SV24=BCWP24-BCWS24=292100-367100=-75000 元<0BCWP<ACWP<BCWS,CV<0,SV<0,体现为效率较低,进度较慢,投入超前,应采取的措施是:增加高效人员投入。
你可能感兴趣的试题
A.可以使用2对角螺栓固定
B.一列有多个机架时,机架连在一起后接地
C.调整机架垂直度时,可在机架底角处放置硬纸板
D.垂直度调整到2.5mm
A.SDH
B.PTN
C.IPRAN
D.BSC
A.人(手)孔遇到土壤松软或地下水位较高时,应增设砂质垫层
B.浇筑混凝土基础时,应从基础四周向积水罐做20mm泛水
C.通道可按土壤条件采用混凝土基础或钢筋混凝土基础
D.浇筑混凝土基础时,应在积水罐安装坑内嵌装为积水罐
最新试题
背景资料: 某通信光缆线路工程包括架空线路和直埋线路两部分,合同工期为 45 天。项目部分解的工作名称、工作代号、各项工
背景资料: 某光缆线路工程的主要工程量及各项工作的成本单价见表;项目部制定的本工程的进度计划见图;第三周末各项工作完成情
背景资料: 某施工单位承接了一项通信线路工程,合同造价100万元,采用包工不包料的方式,包括新建架空线路以及利旧管道线路
背景资料: 某施工单位承担了一项管道光缆线路工程,工程分三批进行。开工前,项目负责人组织项目部人员收集了工程中所需技术文
背景资料: 某施工单位承接了一移动通信基站设备安装工程,施工内容包括安装天线、布放馈线、安装无线主设备及PTN传输设备,
关于通信工程安全施工要求说法正确的是( )。
( )情况不得高空作业。
拉线地锚坑的洞深,应根据( )情况确定。
DWDM系统合波器测试指标中插入损耗测试仪表有( )。
关于机架设备安装说法不正确的是( )。
