注意事项:
1.考试时间为l20分钟.满分为l50分。
2.请按规定在答题卡上填涂、作答。在试卷上作答无效,不予评分。
一、单项选择题(本大题共l5小题,每小题3分,共45分)
1.计算机中的数据都是用二进制表示的,不论是基本的数字、英文字母、运算符号,还是汉字、指令,都要转换成二进制表示,计算机才能执行。那么( )是用四位二进制数表示一个十进制数的编码方式。
A.BCD码
B.字符编码
C.ASCII
D.汉字字形码
2.一段5分钟的彩色视频,分辨率为1024×768,每秒钟显示30帧的24位的电影,若没有经过压缩,需要的存储空间大约为( )。
A.20GB
B.19GB
C.20B
D.19MB
3.图像分辨率的单位是( )。
A.DPI
B.PPI
C.LPI
D.Pixel
4.在Excel中存储和处理数据的文件是( )。
A.工作薄
B.工作表
C.单元格
D.活动单元格
5.下面的描述中。正确的是( )。
A.外存中的信息.可直接被CPU处理
B.计算机中使用的汉字编码和ASCIl码是一样的
C.键盘是输入设备.显示器是输出设备
D.操作系统是一种很重要的应用软件
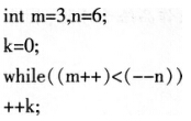
6.执行下列语句序列后,k的值是( )。

A.0
B.1
C.2
D.3
7.想知道“目前世界上濒危动物华南虎的数量”,通过网上搜索得出不同的答案,以下比较可信的判断方法是( )。
A.看查找的是否是专业的、权威的、可信度高的网络科学数据库
B.由查询的结果多少而定.得出相同结论多的就是正确的
C.根据网站界面设计是否美观而定.界面设计好的数据比较准确
D.看查找的速度如何.速度快的网站比较准确
8.内存和外存相比,其主要特点是( )。
A.能存储大量信息
B.能长期保存信息
C.存取速度快
D.能同时存储程序和数据
9.制作网页时为了标记表格,应该使用的是( )。
A.
B.
C.
D.
10.在撰写邮件时。在收件人对话框的“收件人”栏中( )。
A.只能输入一个人的收件地址
B.只能输入多个人的收件地址
C.既可以输入一个人的收件地址又可以输入多个人的收件地址
D.只能输入收件人的姓名
11.要保证数据库的逻辑数据独立性,需要修改的是( )。
A.模式与外模式之间的映射
B.模式与内模式之问的映射
C.模式
D.三层模式
12.关于PowerPoint中对象的组合/取消组合,以下叙述正确的是( )。
A.插入的任何图片都可以通过取消组合而分解为若干独立成分
B.只能在幻灯片视图中对图片取消组合
C.组合操作的对象只能是图形或图片
D.对图元格式的图片可以取消组合
13.下列关于引导层说法不正确的是( )。
A.为了在绘画时帮助对齐对象.可以创建引导层
B.可以将其他层上的对象与在引导层上创建的对象对齐
C.引导层出现在发布的SWF文件中
D.引导层是用层名称左侧的辅助线图标表示的
14.在校园网络建设中.从网络中心联网到300米以外的教学楼、行政楼等,一般使用的传输介质是( )。
A.电话线
B.光缆
C.双绞线
D.同轴电缆
15.下列不属于人工智能软件的是( )。
A.语音汉字输入软件
B.文章翻译软件
C.与网友在网上下棋的软件
D.OCR软件
二、简答题(本大题共3小题,每小题l0分,共30分)
16.多媒体是计算机的一个重要发展方向,多媒体技术的应用有哪些方面?
17.请简述ROM和RAM的区别与联系。
18.情境导入课程可以让学生很快进入上课状态,以“家庭相册我来做”内容为例,设计l种导入新课的方式。
三、案例分析题(本大题共2小题,每小题20分,共40分)
19.在学习“优化计算机’’这节课时,某教师设置了如下的教学目标,请仔细阅读后回答后面的题目。
教学目标:
使学生了解操作系统、应用软件的安装流程,学会优化系统。能运用360安全卫士优化操
作系统:
能处理计算机的常见问题。
培养学生的团队合作精神,增强自信心。
问题:
(1)根据新课标的理念,重新设计教学目标。
(2)确定本节课的重难点。
20.案例:
师:在上几节课我们每个同学用图像工具都画好了一张图。那么现在我们一起来欣赏一下。(演示学生作品,并适当作出点评)
师:现在再来看看我出示的图画.提出疑问。
师:同学们,如果我们要将图画中人物的头移动一下会怎样呢?我们能不能整个头部连在一起移动呢?(出示课题:图形的组合和拆分)
(一)学生自主学习图形的组合拆分
师:那么怎样能够把图画中的每个图形组合在一起呢?分小组讨论一下怎样才能在图画中让图形组合起来呢?
(二)学生运用软件的帮助来学习
图形的组合.教师巡视
师:刚才我们同学都非常认真,请几位同学上来演示一下图形是如何组合的呢.不知道同学们有没信心?
(三)教师出示有错误的图画(树生长在房子上面)
师:同学们看下这幅图画,老师觉得特别别扭,大家看下有什么问题。
师:那我们该怎样对图画进行修改呢?这图画已经组合起来,那我们该如何操作呢?
师:那图形的拆分又如何操作呢?
(四)教师小结
师:今天这堂课教师过得非常愉快,咱们班的同学很快就掌握了图形的组合和拆分。
试从信息技术教学组织的形式和策略,分析上述案例。
四、教学设计题(本大题共l小题,35分)
21.阅读下列材料:
以“算法与程序设计”中的计算机解决问题的过程(高二年级)为内容,有如下引入过程:
教师:“在科技发达的今天,我们到处都可以看到计算机的踪影,感受到计算机给学习、生活带来的方便。然而.在惊叹计算机的神奇的时候.你是否了解计算机解决问题的基本过程?有没有思考过其中的奥妙呢?下面我们先看一个古典的问题。”
学生观看约1分钟的电视剧《汉刘邦》片断,内容大致如下:
韩信是我国西汉初著名的军事家。刘邦得天下,军事上全依靠他。韩信点兵,多多益善,不仅如此,还能经常以少胜多、以弱胜强。在与楚军决战时韩信指挥诸侯联军,在垓下十面埋伏,击败楚军,楚霸王项羽因此自杀。
片段结束时屏幕出现“韩信点兵”问题:“相传汉高祖刘邦问将军韩信统御兵多少,韩信答,每3人一列余1人、5人一列余2人、7人一列余4人、13人一列余6人……刘邦茫然而不知其数。”
请针对以上引人,继续设计教学过程,并说出本课的教学重点、难点,教具的选择,以及教学方法。
一、单项选择题
1.【答案】A。
2.【答案】A。解析:存储量=帧图像存储量×帧频×播放时间(单位:字节)。即(1024×768×24/8)×30×300=20GB。故选A。
3.【答案】B。解析:图像分辨率指图像中存储的信息量,是每英寸图像内有多少个像素点,分辨率的单位为PPI(Pixels Per Inch),除图像分辨率这种叫法外,也可以叫作图像大小、图像尺寸、像素尺寸和记录分辨率。DPI为扫描分辨率,LPI为网屏分辨率,Pixel为像素。故选B。
4.【答案】A。解析:我们将在Excel环境中用来存储并处理工作表数据的文件称为工作簿。工作表是工作薄的重要组成部分,是一个由行和列交叉排列的二维表格.也称电子表格,工作表可被输入数据、编辑数据、设置格式等。单元格是工作表中行和列的交叉部分.是工作表最基本的数据单元。活动单元格是用鼠标单击单元格时,被单击的单元格的地址会显示在“名称框”中,并用粗线框框起来的单元格。需要注意的是单元格有好多个,但是活动单元格只有一个。故答案选A。
5.【答案】C。解析:外存中的信息首先要调入内存,才能被CPU处理;操作系统是一种很重要的系统软件而不是应用软件;汉字编码与ASCII码不一样,汉字编码是两字节的,而ASCIl码是单字节码。
6.【答案】B。解析:只执行一次while循环,k只加了一次,故答案为B。
7.【答案】A。解析:判断网络上提供信息的可靠程度,一般要看查找的是否是专业的、权威的、可信度高的网络科学数据库。
8.【答案】C。
9.【答案】D。解析:
标签是表格的标识符,用来界定表格的范围,
标签是成对使用的标签,
和
之问的内容就是表格的内容。故选D。
10.【答案】C。解析:邮件收件人可以一次输入多个,也可以输入一个。
11.【答案】A。解析:外模式是数据库用户可以看见和使用的局部数据的逻辑结构和特征的描述。要保证数据库的逻辑数据独立性,需要修改的是模式与外模式之间的映射。
12.【答案】D。解析:图元是图形软件用于操作和组织画面的最基本的素材。一幅画面由图元组成。图元是一组最简单的、最通用的几何图形或字符。“图元”是为了区分不同数据信息而对某一类数据所取的名字。图元指的是图形数据,所对应的就是绘图界面上看得见的实体。对于组合与取消组合操作,都是针对具体的图像元素而言的.也是为对图元的操作。
13.【答案】C。解析:Flash中为了在绘画时帮助对齐对象,可以创建引导层。还可以将其他图层上的对象与在引导层上创建的对象对齐。引导层不会导出。因此不会显示在发布的SWF文件中。可以将任何图层用作引导层,图层名称左侧的辅助线图标表明该层是引导层。故选C。
14.【答案】B。解析:因为校园都有一定的园区距离,因此在规划中经常用到以下几种传输介质:(1)五类线(网线)主要是解决室内的数据网络传输(教室、办公室、微机室等)。(2)同轴电缆:主要是解决室内的电视、监控、各类IC卡传输。(3)音频电缆:主要是解决室内和短距离的校园广播、音频广播。以上3类还会被用到室外用的传输介质.如室外五类线、室外同轴电缆、室外音频线.这些主要是解决室外此类连接用的。与室内区别在于增加一些保护层或者屏蔽层更能够适应室外复杂的气候、温度、电磁干扰、抗老化等。(4)最常用的介质:光缆。分单模和多模.两者价格差距较大,多模常被采用。(传输距离近,但是一般都能满足不超过10公里的校园园区)。故选B。
15.【答案】C。解析:人工智能(Artificial Intelligence),英文缩写为Al。它是研究、开发用于模拟、延伸和扩展人的智能的理论、方法、技术及应用系统的一门新的技术科学。人工智能是计算机科学的一个分支,它企图了解智能的实质,并生产出一种新的能以人类智能相似的方式做出反应的智能机器。该领域的研究包括机器人、语言识别、图像识别、自然语言处理和专家系统等。C选项,与网友在网上下棋的软件实现的是人人互动,不是人机互动。
二、简答题
16.【参考答案】
多媒体技术的应用领域非常广泛,主要表现在以下几个方面:教育与培训;远程医疗卫生服务;电子出版业务;信息咨询;商业广告宣传;辅助设计;多媒体会议系统;游戏与娱乐。
17.【参考答案】
RAM(Random Access Memory)易挥发性随机存取存储器,断电后信息丢失,高速存取,读写时问相等.且与地址无关。如计算机内存等。ROM(Read Only Memory)只读存储器。断电后信息不丢失,如计算机启动用的BIOS芯片。存取速度很低,(较RAM而言)且不能改写。ROM和RAM是计算机内存储器的两种型号,ROM表示的是只读存储器,即:它只能读出信息,不能写入信息,计算机关闭电源后其内的信息仍旧保存。一般用它存储固定的系统软件和字库等。RAM表示的是读写存储器,可对其中的任一存储单元进行读或写操作,计算机关闭电源后其内的信息将不再保存,再次开机需要重新装入,通常用来存放操作系统、各种正在运行的软件、输入和输出数据、中间结果及与外存交换信息等,我们常说的内存主要是指RAM。
18.【参考答案】
谈话导入。请几位同学谈谈自己对家的概念。说说和家人在一起的美好时光。引导学生使用相册的形式记录下来这些美好的瞬间。
三、案例分析题
19.【参考答案】
(1)知识与技能:
了解操作系统、应用软件的安装流程,学会优化系统。
过程与方法:
能运用360安全卫士优化操作系统:
能处理计算机的常见问题。
情感态度与价值观:
培养团队合作精神,增强自信心。
(2)教学重点:安装操作系统;优化操作系统。
教学难点:处理计算机的常见问题。
20.【参考答案】
本节课在建构主义学习理论指导下,采用“任务驱动”教学策略,借助多媒体课件,对学生实施探究式自主学习教学模式.教学中注重培养学生分析问题、解决问题的能力。通过学习和实际操作,培养学生的实践能力、创新能力、操作能力和自学能力,提高学生对信息的处理能力。培养信息素养。
提出问题.自主让学生解决问题,对知识感受更深。
培养学生的小组合作与自主探究的能力。学生在解决问题后。会因为自己达到目标而产生一种愉悦和自信的感觉。从而突破本节课的教学重难点,并产生“我要学”的意识。为下一步教学做好铺垫。
通过自评互评。找出自己的优点或不足。学习他人的长处或帮助他人提出意见。提高综合素养的同时,渗透德育。
四.教学设计题
21.【参考答案】
(1)教学过程:教师应接着说:“下面我们先助刘邦解决一个简单的问题。
①展示题目: